全国24小时上门茶,小姐威客兼职2024最新消息,免费24小时全国空降,免费全国空降app入口在哪

深圳市金环宇电线电缆有限公司

网站地图

杨小姐 :13827451949 QQ :2850667656
付小姐 :15919767227 QQ :2850667650
翟小姐 :13510639693 QQ :2850667655
闫先生 :15919875057 QQ :2850667651

您所在的位置:首页 > 新闻资讯 > 电线电缆知识

铝芯电线、电缆型号规格及载流量表

铝芯电线电缆命名方式

铝芯电线、电缆用L表示。

铝芯电缆
YJLV铝芯电缆

铝芯电线型号:BLV

铝芯电线规格:1.5平方、2.5平方、4平方、6平方、10平方、16平方、25平方、35平方、50平方、70平方、95平方、120平方、150平方、185平方、240平方、300平方、400平方。

铝芯电缆型号:VLV、VLV22、YJLV、YJLV22

铝芯电缆规格:1.5平方、2.5平方、4平方、6平方、10平方、16平方、25平方、35平方、50平方、70平方、95平方、120平方、150平方、185平方、240平方、300平方、400平方。

金环宇电线BLV载流量

注:导体种类1代表为铝芯,2代表铜芯。
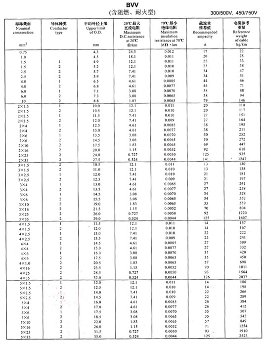
金环宇电线BVV、BLV载流量表
金环宇电线BVV、BLV载流量表


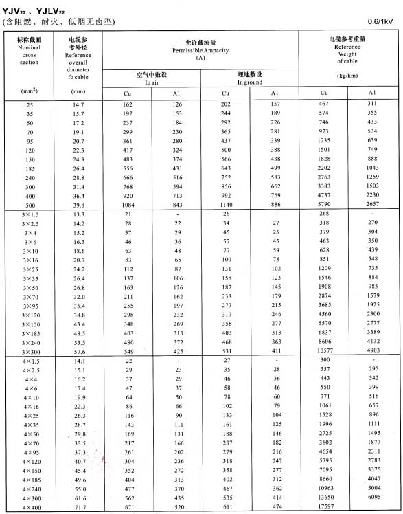
金环宇电缆VLV、VLV22、YJLV、YJLV22载流量表

VLV单芯、2芯、3芯、3+1芯铝芯<a href='http://m.5xiaobai.cn/zailiuliang/' target='_blank'><u>电缆载流量表</u></a>
VLV单芯、2芯、3芯、3+1芯铝芯电缆载流量表
VLV22单芯、2芯、3芯、4芯、3+1芯电缆载流量表
VLV22单芯、2芯、3芯、4芯、3+1芯电缆载流量表
YJVL22单芯、3芯、4芯电缆载流量表
YJVL22单芯、3芯、4芯电缆载流量表

铝芯与铜芯相比的优势

1. 价格便宜:铜杆是铝杆价格的3.5倍、铜的比重又是铝的3.3倍,所以铝芯电缆比铜芯电缆便宜多的多,适合于低资工程或临时用电。 

2.电缆很轻:铝芯电缆的重量是铜芯电缆的40%,施工运输都成本低。 

3. 抗氧化,耐腐蚀:铝在空气中与氧反应很快生成一种氧化膜,能防止进一步氧化,所以铝导线是高电压、大截面、大跨度架空输电的必选材料。

  1. 上一篇:1安等于多少毫安,多少微安,多少千安?
  2. 下一篇:消防电缆为什么要用矿物绝缘电缆的理由

热品推荐

快速通道

金环宇 家装电线 电力电缆 工程案例 新闻资讯 企业介绍 联系我们
杨小姐:138 2745 1949 企业QQ:2850667656 邮箱:13827451949@139.com 杨小姐:138 2882 1707 企业QQ:2850667655 邮箱:13828821707@139.com 付小姐:159 1976 7227 企业QQ:2850667650 邮箱:15919767227@139.com 付小姐:138 2882 8976 企业QQ:2850667651 邮箱:13828828976@139.com 大宗洽谈:135 1063 9693翟小姐 企业QQ:2850667659 邮箱:13510639693@139.com 问题反馈·投诉建议: 闫先生:159 1987 5057 邮箱:15919875057@139.com 网 址:m.5xiaobai.cn/