全国24小时上门茶,小姐威客兼职2024最新消息,免费24小时全国空降,免费全国空降app入口在哪

深圳市金环宇电线电缆有限公司

网站地图

杨小姐 :13827451949 QQ :2850667656
付小姐 :15919767227 QQ :2850667650
翟小姐 :13510639693 QQ :2850667655
闫先生 :15919875057 QQ :2850667651

您所在的位置:首页 > 新闻资讯 > 电线电缆知识

铜芯电缆载流量表,铝芯电缆载流量对照表

电缆载流量是指一条电缆线路在输送电能时所通过的电流量,在热稳定条件下,当电缆导体达到长期允许工作温度时的电缆载流量称为电缆长期允许载流量。下面介绍下电缆铜芯与铝芯载流量,希望对你有所帮助。

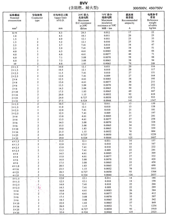
bvv电线载流量表

金环宇bvv电线载流量表
金环宇bvv电线载流量表

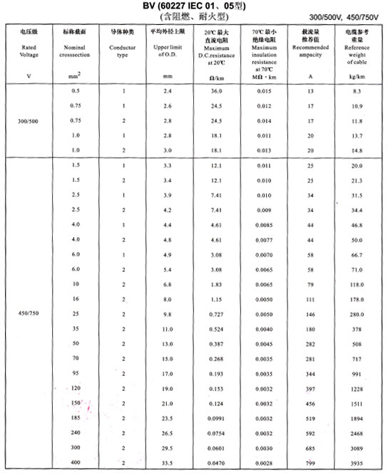
BV电线载流量表

金环宇BV电线载流量表
金环宇BV电线载流量表

RVV电缆载流量表

金环宇R<a href='http://m.5xiaobai.cn/vvdianlan/' target='_blank'><u>VV电缆</u></a>载流量表
金环宇RVV电缆载流量表

YJV铜芯、YJLV铝芯电缆单芯及3芯电缆载流量表

金环宇YJV、YJLV电缆单芯及3芯铜芯铝芯电缆载流量表
金环宇YJV、YJLV电缆单芯及3芯铜芯铝芯电缆载流量表

YJV铜芯、YJLV铝芯4芯、5芯、3+1芯、4+1芯、3+2芯电缆载流量表

金环宇YJV、YJLV4芯、5芯、3+1芯、4+1芯、3+2芯铜芯铝芯电缆载流量表
金环宇YJV、YJLV4芯、5芯、3+1芯、4+1芯、3+2芯铜芯铝芯电缆载流量表

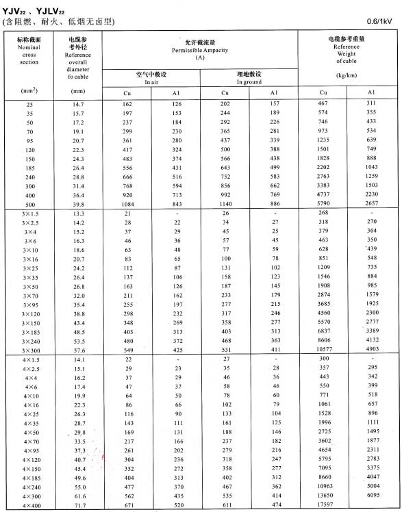
YJV22铜芯、YJVL22铝芯单芯、3芯、4芯铠装电缆载流量表

金环宇YJV22、YJVL22单芯、3芯、4芯铜芯铝芯电缆载流量表
金环宇YJV22、YJVL22单芯、3芯、4芯铜芯铝芯电缆载流量表

VV铜芯、VLV铝芯单芯、2芯、3芯、3+1芯电缆载流量表

金环宇VV、VLV单芯、2芯、3芯、3+1芯铜芯铝芯电缆载流量表
金环宇VV、VLV单芯、2芯、3芯、3+1芯铜芯铝芯电缆载流量表

VV22铜芯、VLV22铝芯单芯、2芯、3芯、4芯、3+1芯铠装电缆载流量表

金环宇VV22、VLV22单芯、2芯、3芯、4芯、3+1芯铜芯铝芯电缆载流量表
金环宇VV22、VLV22单芯、2芯、3芯、4芯、3+1芯铜芯铝芯电缆载流量表

  1. 上一篇:电缆载流量计算方式与估数口诀
  2. 下一篇:JHS是什么电缆?JHS结构图、使用范围、规格及外型尺寸图介绍

热品推荐

快速通道

金环宇 家装电线 电力电缆 工程案例 新闻资讯 企业介绍 联系我们
杨小姐:138 2745 1949 企业QQ:2850667656 邮箱:13827451949@139.com 杨小姐:138 2882 1707 企业QQ:2850667655 邮箱:13828821707@139.com 付小姐:159 1976 7227 企业QQ:2850667650 邮箱:15919767227@139.com 付小姐:138 2882 8976 企业QQ:2850667651 邮箱:13828828976@139.com 大宗洽谈:135 1063 9693翟小姐 企业QQ:2850667659 邮箱:13510639693@139.com 问题反馈·投诉建议: 闫先生:159 1987 5057 邮箱:15919875057@139.com 网 址:m.5xiaobai.cn/