全国24小时上门茶,小姐威客兼职2024最新消息,免费24小时全国空降,免费全国空降app入口在哪

深圳市金环宇电线电缆有限公司

网站地图

杨小姐 :13827451949 QQ :2850667656
付小姐 :15919767227 QQ :2850667650
翟小姐 :13510639693 QQ :2850667655
闫先生 :15919875057 QQ :2850667651

您所在的位置:首页 > 新闻资讯 > 电线电缆知识

金环宇铜芯电缆载流量对照表、铝芯电缆载流量对照表

家用布电线铜芯、铝芯电线电缆载流量对照表:

注:导体1表示为铝芯。导体2表示为铜芯

bv电线载流量

bv电线载流量

bv电线

bv电线

RVS电线规格载流量

RVS电线规格载流量

金环宇电力电缆铜芯、铝芯电缆对照表:

VV电缆载流量

VV电缆载流量对照表

金环宇YJLHV单芯载流量对照表

YJLHV单芯载流量对照表

金环宇YJV22、YJVL22单芯、3芯、4芯电缆载流量表

YJV22、YJVL22单芯、3芯、4芯电缆载流量表

VV22、VLV22单芯、2芯、3芯、4芯、3+1芯电缆载流量对照表

VV22、VLV22单芯、2芯、3芯、4芯、3+1芯电缆载流量表

YJV、YJLV单芯、3芯电缆载流量对照表

YJV、YJLV单芯、3芯电缆载流量表

YJV、YJLV4芯、5芯、3+1芯、4+1芯、3+2芯电缆载流量对照表

YJV、YJLV4芯、5芯、3+1芯、4+1芯、3+2芯电缆载流量表

控制电缆外径、重量对照表

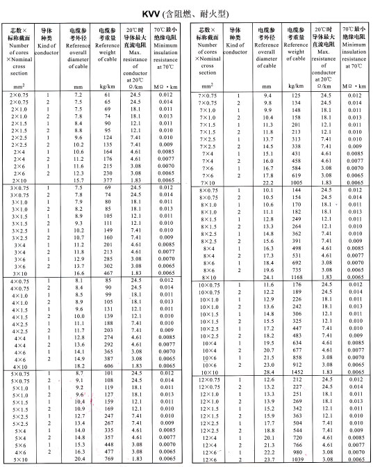
KVV电缆外径、重量对照表

KVV电缆载流量表

KVVP2-14芯外径、重量表

KVVP2-14芯外径、重量表

KVVP16-61芯外径、重量对照表

KVVP16-61芯外径、重量表

KVVP2外径、重量对照表

KVVP2外径、重量表

KVVP2-22外径、重量表

KVVP2-22外径、重量表

  1. 上一篇:WDZA-YJE是电缆还是电线?WDZA-YJE、WDZN-YJE22表示什么意思
  2. 下一篇:0.6/1KV低压电缆型号规格,低压电缆载流量对照表

热品推荐

快速通道

金环宇 家装电线 电力电缆 工程案例 新闻资讯 企业介绍 联系我们
杨小姐:138 2745 1949 企业QQ:2850667656 邮箱:13827451949@139.com 杨小姐:138 2882 1707 企业QQ:2850667655 邮箱:13828821707@139.com 付小姐:159 1976 7227 企业QQ:2850667650 邮箱:15919767227@139.com 付小姐:138 2882 8976 企业QQ:2850667651 邮箱:13828828976@139.com 大宗洽谈:135 1063 9693翟小姐 企业QQ:2850667659 邮箱:13510639693@139.com 问题反馈·投诉建议: 闫先生:159 1987 5057 邮箱:15919875057@139.com 网 址:m.5xiaobai.cn/