电线功率表,电线电流计算公式
-
来源:金环宇电线发布日期:2019-09-25 14:45
电线的电流载流量可以通过查表获得,也可以通过计算得到。
电线电流计算公式
导线的安全载流量是根据所允许的线芯最高温度、冷却条件、敷设条件来确定的。
1、电线的载流量可以通过查表方法得到,这种方法方便、直观。每个工厂所生产的电线和电缆都有产品说明书,在这说明书里就能了解了各种电线电缆各规格型号的载流量。

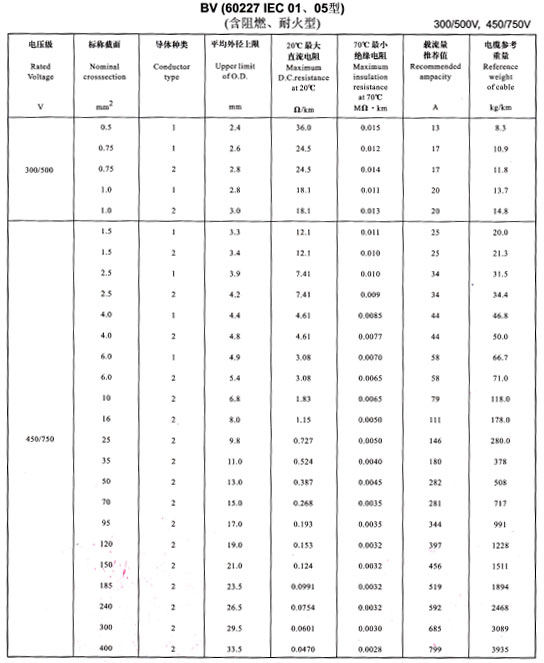
bv电线载流量
2、通过计算方法得到
已知纯铜电线的横截面积为S(mm²),一般电流密度取6A/mm²,电线的载流量I(A)=S(mm²)X6A/mm²。
例如:2.5平方电线,它的最大载流量为I=2.5x6=15(A)。再根据载流量就能得出功率是多少,如果是220V电压,最大承载功率为P=220x15=3300(w)
电线功率表
单相220V交流电压情况下,多少功率用多少截面积的电线数据如下:
4KW→1.5mm²、5.5KW→2.5mm²、7.3KW→4mm²、10KW→6mm²、13KW→10mm²、18KW→16mm²、24KW→25mm²、30KW→35mm²、38KW→50mm²。
三相380V交流电压情况下,多少功率用多少截面积的电线数据如下:
12KW→1.5mm²、16KW→2.5mm²、22KW→4mm²、29KW→6mm²、39KW→10mm²、54KW→16mm²、72KW→25mm²、88KW→35mm²、112KW→50mm²。
注:上述参数为电加热负载时的功率参考值。
家用电线实际应用建议
进户线6—10 mm2,照明2.5 mm2,插座4 mm2,空调6 mm2专线。
电线火线为红色,零线可选颜色有:红、黄、蓝、绿、棕、白、黑、双色几种。
单芯电线1.5平方电线,用于灯具照明,
单芯电线2.5平方电线,用于插座。
单芯电线4平方电线用于3匹空调以上,
单芯电线6平方电线用于总进线,双色线用于接地线。
二芯、三芯护套电线是做明线使用,多用于工地上施工用,家装不太用到。
三芯护套电线2.5平方可用于柜式空调上。


